0
Skip to Content
Home
About tiny2026
The Process
Entrance-Polls
About the 2026 Election
Governance and Compliance
Candidate Profiles
Participate
Participate as a Voter
Participate as a Candidate
Contact Us
Open Menu
Close Menu
Home
About tiny2026
The Process
Entrance-Polls
About the 2026 Election
Governance and Compliance
Candidate Profiles
Participate
Participate as a Voter
Participate as a Candidate
Contact Us
Open Menu
Close Menu
Home
Folder:
About tiny2026
Back
The Process
Entrance-Polls
About the 2026 Election
Governance and Compliance
Candidate Profiles
Folder:
Participate
Back
Participate as a Voter
Participate as a Candidate
Contact Us
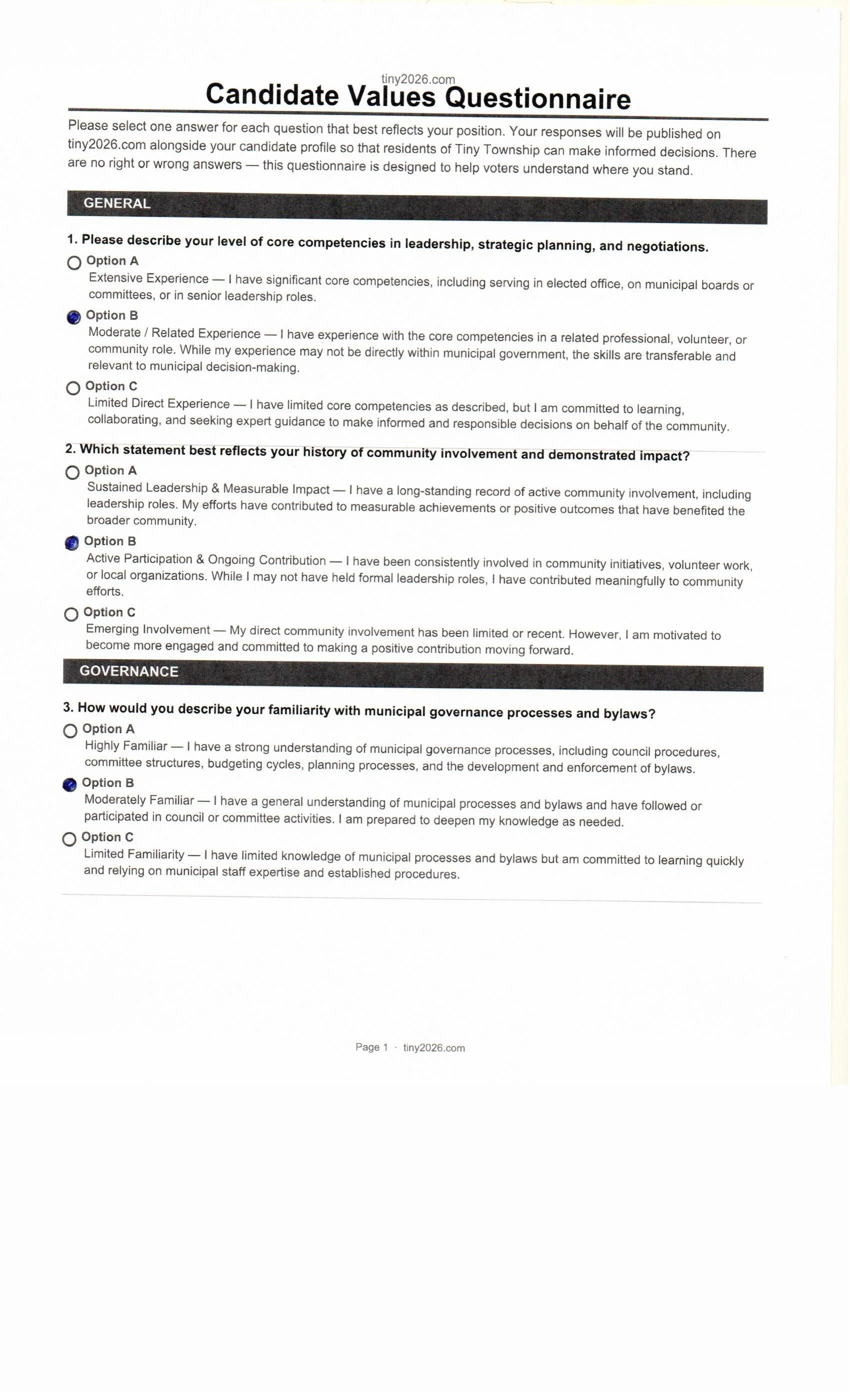
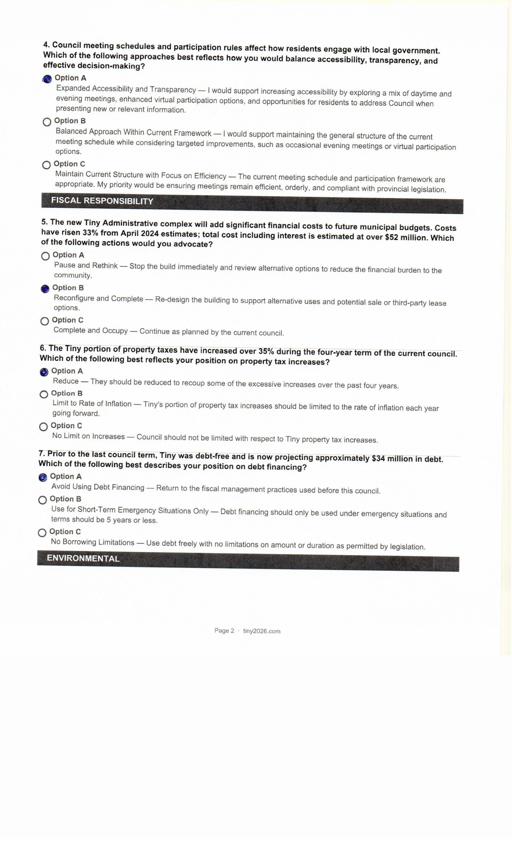
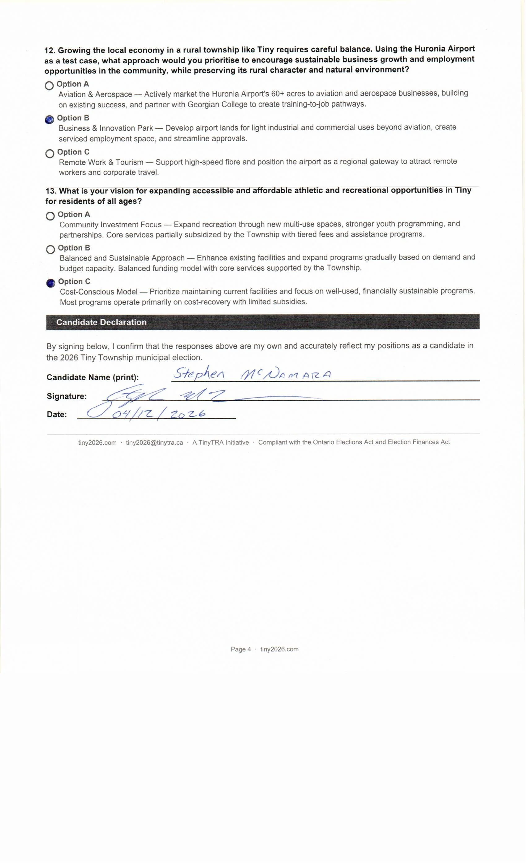
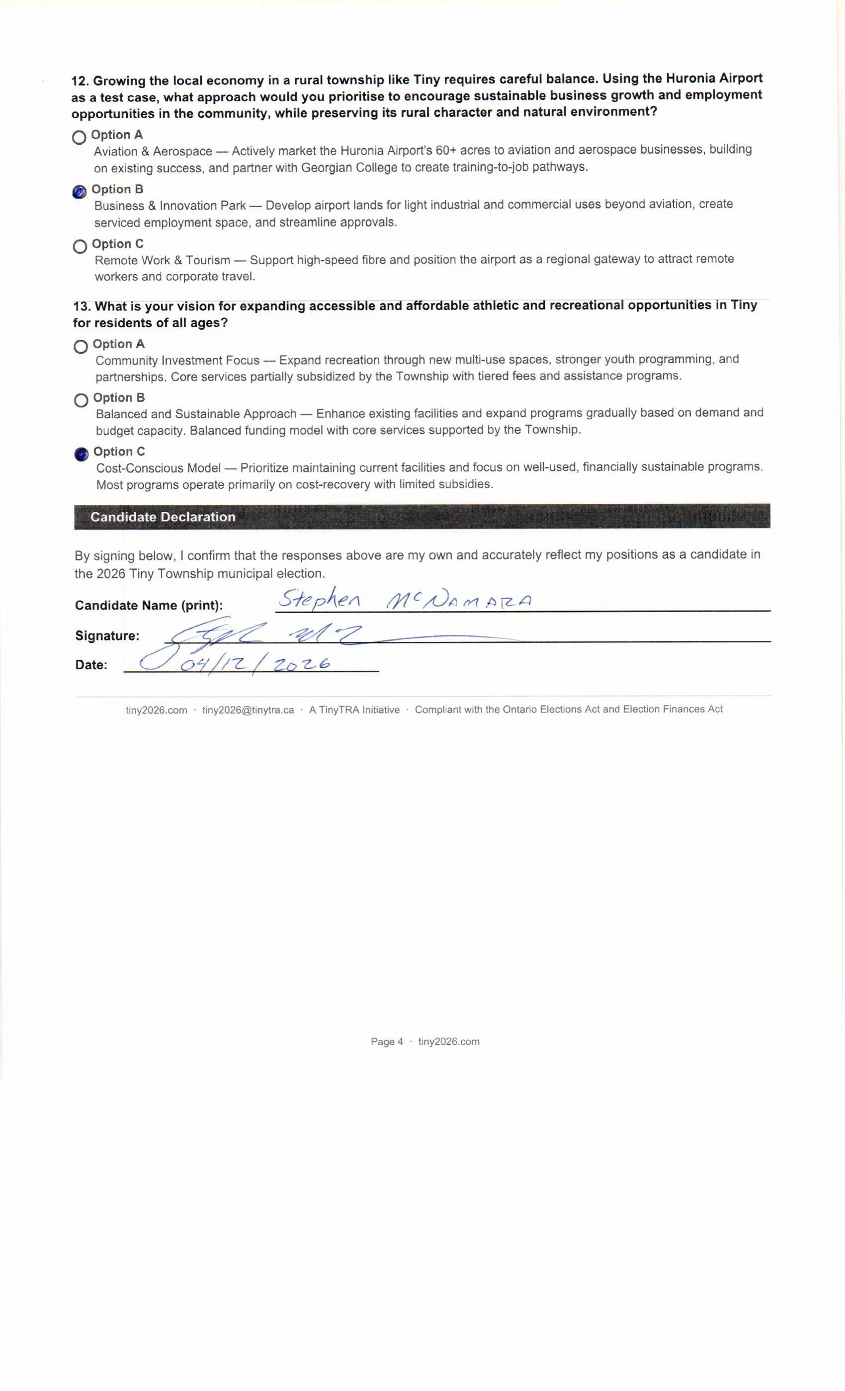
Stephen McNamara’s questionnaire responses